Home
Research Group for East Slavic Languages, Societies and Cultures
Guest lecture

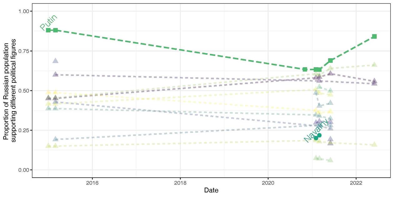
Is Putin’s popularity real, and how do we measure it?

The Russian section at UiB invites you to an open lecture with Kyle Lohse Marquardt, associate professor at the Department of Comparative Politics

Graf
Photo:
Marguardt

Main content

The Russian government invests a great deal in presenting the image of a popular leadership and, indeed, Russian President Vladimir Putin has historically had very high popularity rankings. However, assessing popularity in autocracies like Russia is difficult. In this presentation, Marquardt discusses the issues involved in estimating the popularity of Putin, as well as the political implications of these issues.

Open to all interested!